This website is being migrated. In case you don't find the information you are looking for, the old website can be found here. Thank you for reporting any anomalies to communication@ill.eu.

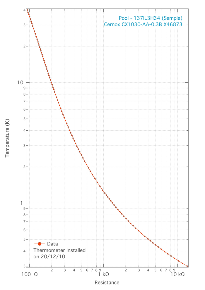
3He Insert 137IL3H34

For Ø49 Orange cryostats

Type 3He insert

Tmin

400mK

Tmax

300K

Instrument

Pool

2K stage PT0 / C0

Serial number

-

Calibration

-

Interpol. Table

-

Sensor Samp. Cernox CX1030

Serial number

X46873

Calibration

-

Interpol. Table

Download

137IL3H34 SMP X46873