SNP Simulations
Spherical Neutron Polarimetry simulations
The polarisation vector of a neutron beam can be seen as a classical vector in the space of the laboratory. In particular, the component Pα in the direction α is defined as Pα = (n+ - n-) / (n+ + n-) where n+ and n- are the number of neutrons which fall in the |+½> and |-½> eigenstates of the angular momentum component σα of the neutron.
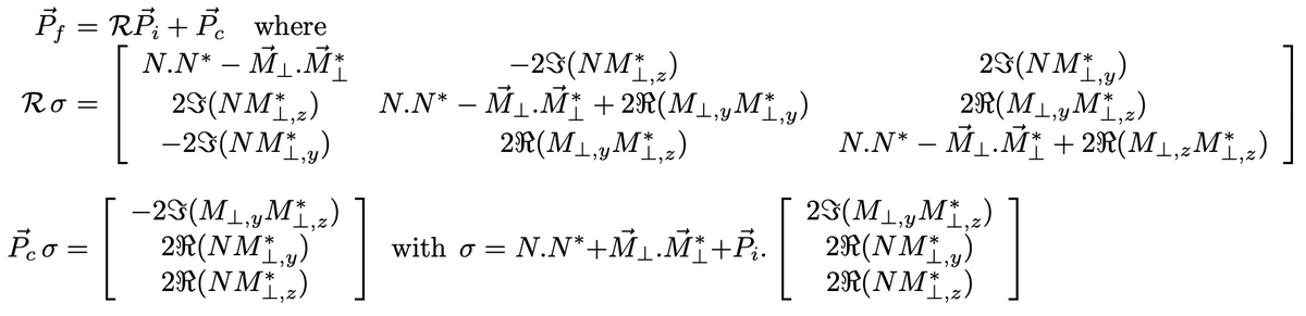
In the 1960s, Izyumov and Maleyev [I62], Blume [B63,B64], Izyumov [I63] and Schermer and Blume [S68] derived the theory of polarised neutrons scattered by various materials using the density matrix formalism within the Born approximation. The theoretical results gave the expressions for the total cross-section σ and the final polarisation vector Ρf summarised in the table below. In these expressions, N is the nuclear structure factor, M is the magnetic interaction vector, ki and kf are respectively the incident and final amplitudes of the neutron wave vectors, and Ρi is the incident polarisation vector.
From the above table, it has already been shown by P.J. Brown [B01] that the scattered polarisation is the combination of a rotation of Ρi with a creation of polarisation Pc, i.e. the modulus of the scattered polarisation is always greater than or equal to the modulus of the incident polarisation while remaining below 1:
The 9 components Rα,β and the 3 components Ρc,α where (α,β) are x, y, z indices are obtained by measuring the three components of the scattered polarisation with the incident polarisation Ρi parallel to x, y and z in turn. This determines the polarisaion matrix P, i.e. the experimental quantity most closely related to the polarisation tensor [L07]. When Pc ≠ 0, in addition to the polarisation matrix, we measure directly the 3 components of Pc with a non-polarised incident beam.
Because the magnetic interaction vector Μ is the projection of the magnetic structure factor onto a plane perpendicular to the scattering vector Q, it is convenient to define a set of orthogonal polarisation axes with x parallel to Q. z is conventionally chosen perpendicular to the scattering plane and y completes the right-handed cartesian set.
From the above equations, one can predict the rotation of the polarisation vector upon scattering:
- The polarisation direction is conserved when the scattering is of coherent nuclear origin: for example a nuclear Bragg peak without nuclear spin polarisation or an isolated phonon.
- The non-chiral part of the magnetic scattering rotates the incident beam polarisation by π around the magnetic interaction vector M, provided its direction is well defined (e.g. fixed by magneto-crystalline anisotropy). If the direction of M is not well defined, as e.g. for pure Heisenberg and XY systems or spin glasses, only the polarisation component along Q is preserved and flipped.
- The chiral part of the magnetic scattering creates a polarisation along the scattering vector Q. In this case, the scattered intensity may depend on the incident polarisation direction. Pi rotates by π/2 towards the plane (x,y) when Pi // z and towards the plane (x,z) when Pi // y.
- When there is nuclear-magnetic interference, the intensity depends on Ρi only when Ν and Μ are in phase. As regards the polarisation vector, it rotates toward or around the magnetic interaction vector M when Ν and Μ are respectively in phase or in quadrature.
We propose a series of simulations presenting the way the neutron polarisation vector rotates upon scattering. These simulations have been calculated with Mathematica from the Blume - Maleyev equations cited above. Click in the side bar menu to view your case of interest.
It is important to remember that:
- The squared modulus of the scattered polarisation Pf is smaller or equal to unity but always greater than or equal to | Pi |2 in the absence of depolarisation by e.g. magnetic domains (M well defined).
- The amplitude of the polarisation is either increased or unchanged by scattering from any pure sample state (when M is well defined).
- Depolarisation of the scattered beam is an indication that a mixed state consisting of more than one type of magnetic domain is present in the sample.
- The ability to distinguish depolarisation from rotation of the polarisation away from the axis of analysis is one of the features which makes SNP more powerful than axial polarisation analysis.
[I62] Y. Izyumov and S. Maleyev, Soviet Phys. - JETP 14 (1962) 1668
[B63] M. Blume, Phys. Rev. 130 (1963) 1670
[B64] M. Blume, Phys. Rev. 133 (1964) A1366
[I63] Y. Izyumov, Soviet Phys. - Usp. 16 (1963) 359
[S68] R. Schermer and M. Blume, Phys. Rev. 166 (1968) 554
[B01] P.J. Brown, Physica B 297 (2001) 198
[L07] E. Lelièvre-Berna, P.J. Brown, F. Tasset, K. Kakurai, M. Takeda and L.-P. Regnault, Physica B 397 (2007) 120