A bistable catanionic system with reinforced thermal stability
Scientific publications
The ILL monitors the papers published as a result of the use of our facilities. This gives a figure of about 600 papers per year. We pay particular attention to papers published in high-impact journals. About 80 such papers are published annually based on data obtained at the ILL, which is a factor of two higher than the second most productive neutron source in the world.
Latest ILL publications
Swelling-state-dependent structure of spread microgel monolayers
Structural changes of iron active sites in zeolite FER during CO2 and CH4 conversion to oxygenates
Laser powder bed fusion residual stresses: Measurement agreement, machine parity, and baseplate-driven heat-treatment response of 316L stainless steel
Investigation of the lithium extraction mechanism from LiNi0.6Mn0.2Co0.2O2 by using operando neutron diffraction in an all solid state battery
From nano to bite: Dietary fibers induce fracture mechanisms during high moisture extrusion of plant-based meat alternatives
How lipid composition shapes the nanostructural interaction of tumor biomarker alpha-fetoprotein and bovine serum albumin with model membranes
Structure property relationships of the exotic insulator-insulator transition in CeMnAsO1-xFx: A potential excitonic insulator
Antibiotic vesicles based on peptide-polymer complex coacervation
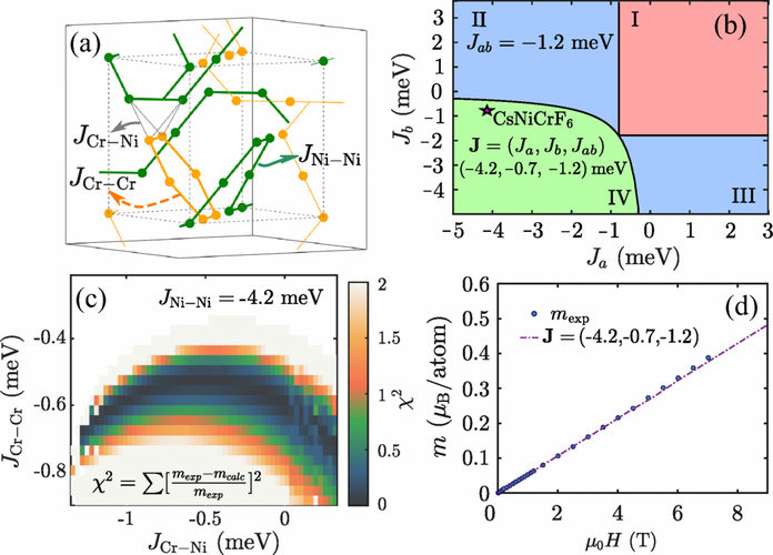
Algebraic loop liquid in the pyrochlore CsNiCrF6
Protein dynamics under crowding
Boosting structural food science using X-ray and neutron techniques
Wadsley-Roth FeNb11O29 as negative electrode material for lithium solid-state batteries
Two-step digestion pathways of hydrogels from pea proteins
Hidden charge order in the mixed valent K0.75Li2Cr6O12 high pressure oxide
Tailoring the structural and transport properties of Ba2In2O5 through Cr6+ substitution for enhanced oxygen permeation
4D multimodal neutron and X-ray tomography of lithium transport in all-solid-state batteries using Li-7 contrast enhancement
Surface-induced stability change of bioengineered antibodies: Insights from QCM-D and neutron reflection
Tangled up in fibers: How a multidomain lytic polysaccharide monooxygenase binds its chitin substrate
Interplay of redox non-innocence and symmetry breaking in a 4d coordination framework
From thin films to nanodots: Bottom up integration of Fe3O4 on Nb:STO for functional oxide nanostructures
Magnetic domain texture in Fe3O4 thin films on SiO2 nanospheres
Structural and electrochemical investigation of Ni- and Mn-based disordered rock salt cathode materials without d0 elements
Unravelling mixed organic halide perovskite degradation under extrinsic factors