Most stringent bound one electron neutrino mass obtained with a scalable low-temperature microcalorimeter array
Scientific publications
The ILL monitors the papers published as a result of the use of our facilities.
This gives a figure of about 600 papers per year.
We pay particular attention to papers published in high-impact journals. About 80 such papers are published annually based on data obtained at the ILL, which is a factor of two higher than the second most productive neutron source in the world.
Scientific Publication lists (from Annual reports) List of PhD thesis Recent Journal covers
Latest ILL publications
Unveiling the key role of rare-earth (La versus Nd) in Ni+-based layered nickelates: Impact on structures and physical properties
Driving a stimuli-responsive wedge in the packing of phospholipid membranes using bolaamphiphile intercalants
Design of thermo-responsive self-assembly of PEGylated fatty acids: Switching reversibly from tubes or vesicles to micelles at physiological temperature
Unveiling the local effects of PTL passivation in PEM electrolyzers through gas and current mapping using operando neutron radiography and polarized neutron imaging
Characterisation of mass transport in mesh-type flow-field based polymer electrolyte membrane water electrolysers by neutron imaging
Highly branched sulfated glycopolymers as mucin mimetics
How multi-length scale disorder shapes ion transport in lithium argyrodites
Two-peak heat capacity accounts for Rln(2) entropy and ground state access in the dipole-octupole pyrochlore Ce2Hf2O7
Operando investigation of the two-phase flow behavior of a zero-gap alkaline electrolysis cell using neutron radiography
Strong Kitaev interaction in BaCo2(AsO4)2
The effect of phosphate buffered saline and osmotic stress on phosphatidylcholine vesicles
Synthesis, structure, and ionic transport properties of lithium monothiophosphate pentahydrate Li3PO3S·5H2O and its anhydrous form Li3PO3S
Collinear Jahn-Teller ordering induces monoclinic distortion in "defect-free" LiNiO2
Competing magnetism in layered mixed transition metal chalcogenides KCo2-xNixSe2, KCo2-xNixS2, and CsCo2-xNixSe2
Promising alloys for hydrogen storage in the compositional space of (TiVNb)100-x(Cr,Mo)x high-entropy alloys
Competitive adsorption of monoclonal antibodies and nonionic surfactants at the air-water interface
Enabling operando neutron diffraction for solid-state battery studies
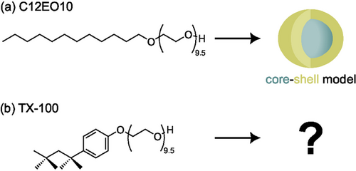
Beyond core-shell micellar structures: Complex structures in simple surfactants
Magnetoelastic dynamics of the spin Jahn-Teller transition in CoTi2O5
Stabilization of infinite-layer NdNi1-xAlxO2 nickelates containing monovalent Ni as bulk polycrystalline materials
Phase equilibrium during the synthesis of LiNi0.46Mn1.54O4: comprehensive X-ray & neutron powder diffraction study
Neutron scattering and thermodynamic evidence for emergent photons and fractionalization in a pyrochlore spin ice
Electron conductive self-assembled hybrid low-molecular weight glycolipid-nanosilver gels