This website is being migrated. In case you don't find the information you are looking for, the old website can be found here. Thank you for reporting any anomalies to communication@ill.eu.

3He Cryostat 68IL3H100

Type 3He cryostat

Tmin

400mK

Tmax

300K

Instrument

Pool

2K stage PT0 / C0

Serial number

-

Calibration

-

Interpol. Table

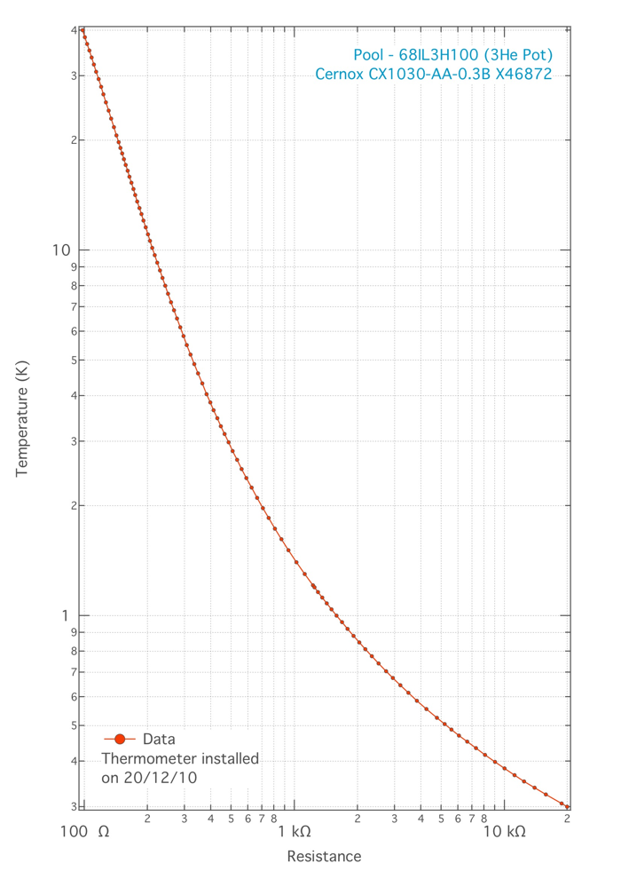
Sensor 3He Pot Cernox CX1030

Serial number

X46872

Calibration

-

Interpol. Table

Download

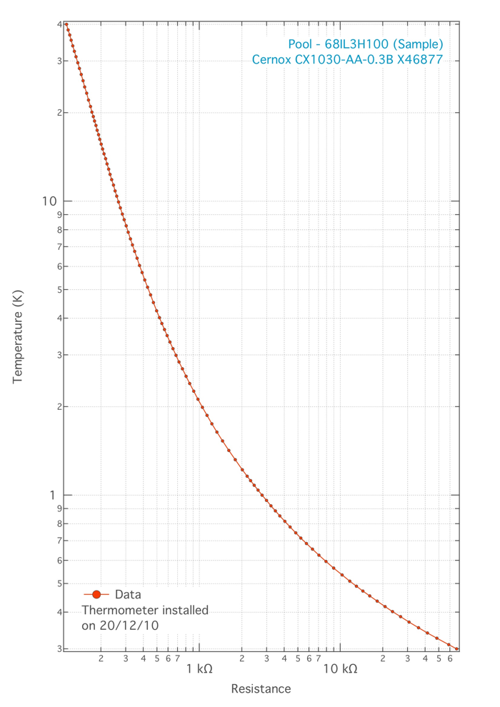
Sensor Samp. Cernox CX1030

Serial number

X46877

Calibration

-

Interpol. Table

Download