This website is being migrated. In case you don't find the information you are looking for, the old website can be found here. Thank you for reporting any anomalies to communication@ill.eu.
Switch instrument:
Virtual tour
SuperADAM CRG - Advanced Reflectometer for the Analysis of Materials

Role of gallium diffusion in the formation of a magnetically dead layer

Role of gallium diffusion in the formation of a magnetically dead layer

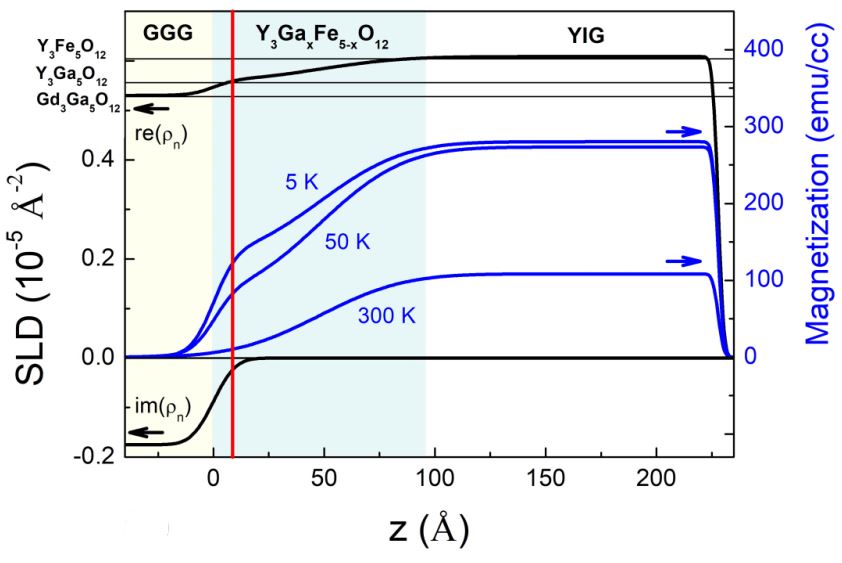
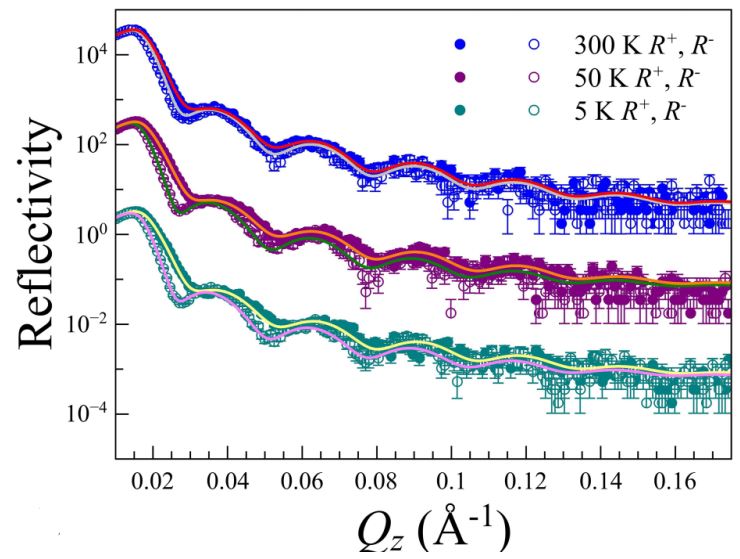
We have clarified the origin of a magnetically dead interface layer formed in yttrium iron garnet (YIG) films grown at above 700 °C onto a gadolinium gallium garnet (GGG) substrate by means of laser molecular beam epitaxy. The diffusion-assisted formation of a Ga-rich region at the YIG/GGG interface is demonstrated by means of composition depth profiling performed by x-ray photoelectron spectroscopy, secondary ion mass spectroscopy, and x-ray and neutron reflectometry. Our finding is in sharp contrast to the earlier expressed assumption that Gd acts as a migrant element in the YIG/GGG system. We further correlate the presence of a Ga-rich transition layer with considerable quenching of ferromagnetic resonance and spin wave propagation in thin YIG films. Finally, we clarify the origin of the enigmatic low-density overlayer that is often observed in neutron and x-ray reflectometry studies of the YIG/GGG epitaxial system.

PHYSICAL REVIEW MATERIALS 2, 104404 (2018) / DOI: 10.1103/PhysRevMaterials.2.104404