This website is being migrated. In case you don't find the information you are looking for, the old website can be found here. Thank you for reporting any anomalies to communication@ill.eu.
Switch instrument:
Virtual tour
SuperADAM CRG - Advanced Reflectometer for the Analysis of Materials

Electro-responsivity of ionic liquid boundary layers in a polar solvent revealed by neutron reflectance

Electro-responsivity of ionic liquid boundary layers in a polar solvent revealed by neutron reflectance

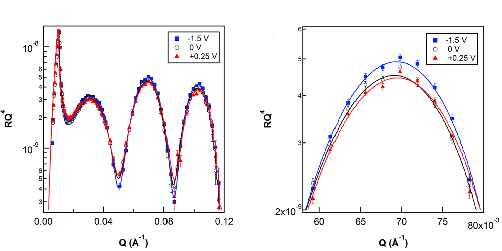
Using neutron reflectivity, the electro-responsive structuring of the non-halogenated ionic liquid (IL) trihexyl(tetradecyl)phosphonium-bis(mandelato)borate, [P6,6,6,14][BMB], has been studied at a gold electrode surface in a polar solvent. For a 20% w/w IL mixture, contrast matched to the gold surface, distinct Kiessig fringes were observed for all potentials studied, indicative of a boundary layer of different composition to that of the bulk IL-solvent mixture.With applied potential, the amplitudes of the fringes from the gold-boundary layer interface varied systematically. These changes are attributable to the differing ratios of cations and anions in the boundary layer, leading to a greater or diminished contrast with the gold electrode, depending on the individual ion scattering length densities. Such electro-responsive changes were also evident in the reflectivities measured for the pure IL and a less concentrated (5% w/w) IL-solvent mixture at the same applied potentials, but gave rise to less pronounced changes. These measurements, therefore, demonstrate the enhanced sensitivity achieved by contrast matching the bulk solution and that the structure of the IL boundary layers formed in mixtures is strongly influenced by the bulk concentration. Together these results represent an important step in characterising IL boundary layers in IL-solvent mixtures and provide clear evidence of electroresponsive structuring of IL ions in their solutions with applied potential. 

THE JOURNAL OF CHEMICAL PHYSICS 148, 193806 (2018) / doi https://doi.org/10.1063/1.5001551