This website is being migrated. In case you don't find the information you are looking for, the old website can be found here. Thank you for reporting any anomalies to communication@ill.eu.
Switch instrument:
Virtual tour
SuperADAM CRG - Advanced Reflectometer for the Analysis of Materials

Phase transitions

Phase transitions

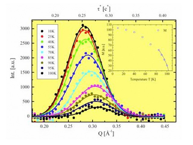
Radial neutron scans of the (00.0+τ) magnetic satellite peak for the 4.6 nm thick single epitaxial Ho(00.1) film for different temperatures.
The peak shifts to higher scattering vectors due to an increasing turn angle of the Ho spin helix with increasing temperature.
Simultaneously, the intensity decreases due to a loss of long range magnetic order with increasing temperature.
In the inset the magnetic order parameter is plotted as a function of temperature.
The solid line shows a fit to the data in the temperature region close to TN yielding a critical parameter β ≈ 0.5 and TN ≈ 105 K.

(Courtesy of V. Leiner)