This website is being migrated. In case you don't find the information you are looking for, the old website can be found here. Thank you for reporting any anomalies to communication@ill.eu.
Switch instrument:
Virtual tour
BRISP Time of Flight Neutron Spectrometer for Small Angle Inelastic Scattering

The hydrogen-bond collective dynamics in liquid methanol

The hydrogen-bond collective dynamics in liquid methanol

The relatively simple molecular structure of hydrogen-bonded (HB) systems is often belied by their exceptionally complex thermodynamic and microscopic behaviour. For this reason, after a thorough experimental, computational and theoretical scrutiny, the dynamics of molecules in HB systems still eludes a comprehensive understanding. Aiming at shedding some insight into this topic, we jointly used neutron Brillouin scattering and molecular dynamics simulations to probe the dynamics of a prototypical hydrogen-bonded alcohol, liquid methanol. 

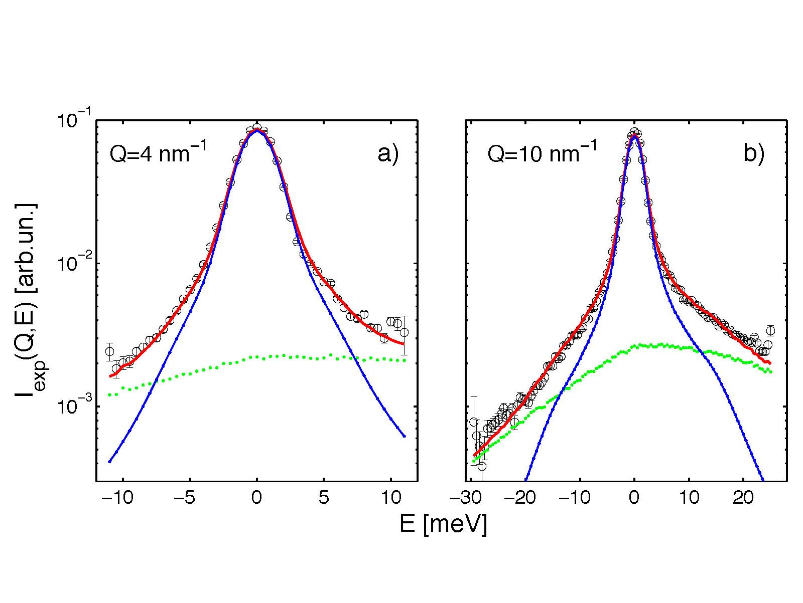
The comparison with the most thoroughly investigated HB system, liquid water, pinpoints common behaviours of their THz microscopic dynamics, thereby providing additional information on the role of HB dynamics in these two systems. Figure 1 shows how the MD simulation data (blue curve) faithfully reproduce the experimental data Iexp(Q, E) once the multiple scattering (green curve) and instrumental resolution are taken into account, and emphasizes the overall accuracy of both measurements and calculations. 
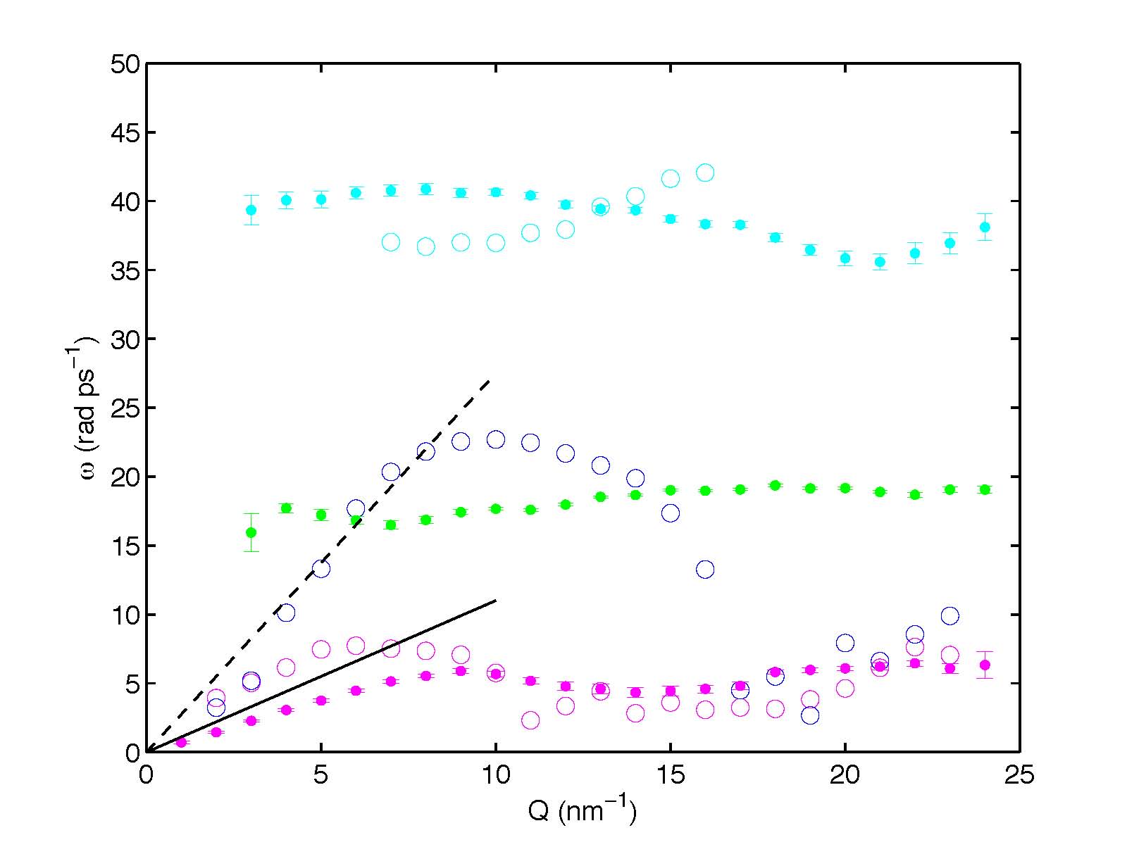
The dispersion curves obtained by analyzing the center-of-mass dynamic structure factor and the longitudinal and transverse currents are shown in Fig. 2 portray a dynamic behaviour of methanol much richer than what so far known, and prompts us to establish striking analogies with the features of liquid and supercooled water. In particular, based on the strong differences between the structural properties of the two systems, our results suggest that the assignment of some dynamical properties to the tetrahedral character of water structure should be questioned. 
A pictorial representation of the coupling between the exchanged wavevector Q and the longitudinal and transverse waves propagating in water (tetrahedral) and methanol (non tetrahedral) is given in Fig. 3.

Reference

S. Bellissima, M. A. Gonzalez, U. Bafile, A. Cunsolo, F. Formisano, S. De Panfilis, and E. Guarini, “Switching of  hydrogen-bond-driven excitation modes in liquid methanol”, Sci. Rep. 7, Article number: 10057 (2017).