This website is being migrated. In case you don't find the information you are looking for, the old website can be found here. Thank you for reporting any anomalies to communication@ill.eu.
Switch instrument:
Virtual tour

Ternary fission

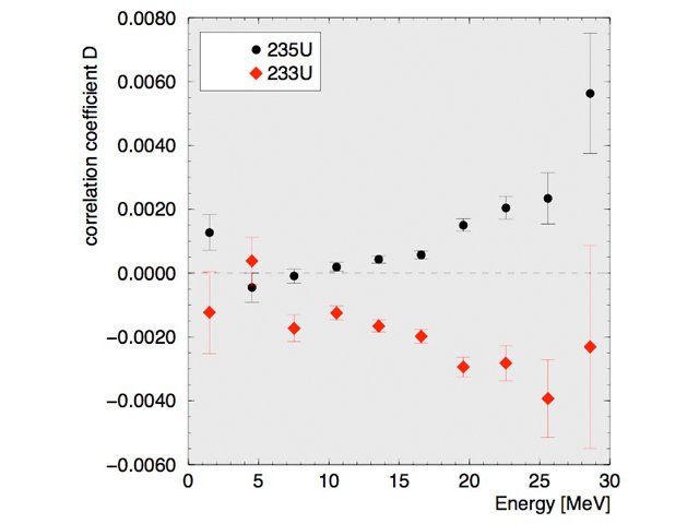
Dependance of the correlation coefficient D on the energy of ternary particlesBottom panel: 233U ; Top panel: 235U

Ternary fission

The correlations between neutron spin and the momenta of the outgoing fission fragments and ternary charged particles have been investigated in ternary fission of actinide nuclei induced by cold polarised neutrons.

While probing the time reversal invariance in this reaction, an unexpectedly large effect has been discovered whose mere size appears to rule out violation of the time reversal invariance as being responsible for the observation. On the other hand parity non-conservation for ternary fission has been clearly established. This has interesting implications for the process at hand.

Furthermore, surprising features of the left-right asymmetries in the emission of fission fragments or reactions with light nuclei (6Li, 10B) relative to the incoming polarised beam are catching the eye with the sign of the asymmetry depending on the direction of emission of the ternary particles with respect to the reaction plane. These new findings have attracted significant interest.

Ref.: P. Jesinger et al., 1999.