This website is being migrated. In case you don't find the information you are looking for, the old website can be found here. Thank you for reporting any anomalies to communication@ill.eu.
Switch instrument:
Virtual tour

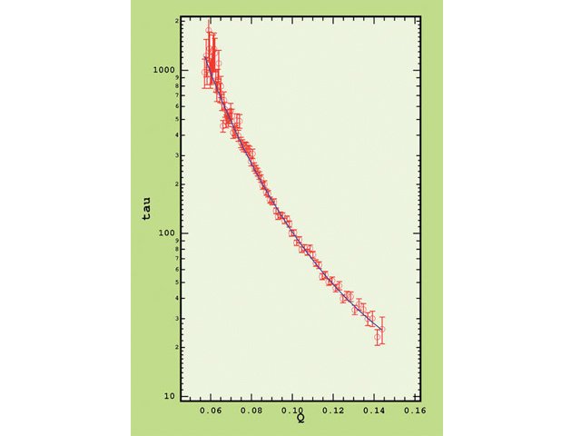
Polymer melt relaxation times

The measured relaxation times fit with an exponential decay as expected for a polymer melt.

Polymer melt relaxation times

PEO polymer melt relaxation times at 140 C as measured by Time-of-Flight Neutron Spin Echo (TOF NSE) at one single detector position. Note the large dynamical range in relaxation times.

Ref.: B. Farago, Time-of-Flight Neutron Spin Echo in Neutron Spin Echo Spectroscopy, Ed. F. Mezei, et al., Lecture Notes in Physics Vol. 601, Springer Verlag 2003.