This website is being migrated. In case you don't find the information you are looking for, the old website can be found here. Thank you for reporting any anomalies to communication@ill.eu.
Switch instrument:
Virtual tour

Selected examples

Selected examples

The new IN12 is not yet commisionned. Thus the following examples are from the original IN12 but they are typical of what can be done on this instrument.

Example 1

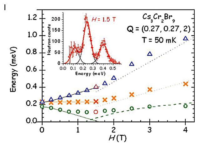
Cs3Cr2Br9 provides an example of a three dimensional interacting spin-dimer system (s=3/2) where the ground state (G.S.) is an S = 0 singlet state and the first excited state, an S = 1 triplet, is separated from the G.S. by an energy gap Δ≈0.2 meV.

In a magnetic field, because of the Zeeman splitting of the S = 1 state, a phase transition occurs at a critical field Hc1, when the lowest gap closes. Above Hc1, the field-induced magnetic ordering is due to the inter-dimer couplings.

The figure shows the field dependence of the three energy gaps. Contrary to TlCuCl3, no Bose-remains gapped in the field-induced ordered phase. This is probably related to the sizable single-ion anisotropy.

Ref.: B.Grenier and al., Phys. Rev. Lett., 92, 2004, 177202-1/4.

Example 2

IN12 has a dedicated vacuum tank used to suppress air scattering of the direct beam. This setup is efficient at low momentum transfer and may be competitive with time of flight instruments for soft-matter physics.

Such possibility is illustrated in this study of amorphous polybutadiene above the glass transition. Data collected with and without the vacuum tank are shown in the figure. The observation of modes at low Q provides information on microscopic parameters that allow a connection between the glass anomalies and the properties of the melt...

Ref.: W.Schmidt and al.