This website is being migrated. In case you don't find the information you are looking for, the old website can be found here. Thank you for reporting any anomalies to communication@ill.eu.
Switch instrument:
Virtual tour

The cerium magnetic form factor and diffuse polarization in CeRh3B2 as functions of temperature

The cerium magnetic form factor and diffuse polarization in CeRh3B2 as functions of temperature

In the compound CeRh3B2, a rather special polarization of the conduction electrons along the c-chains of cerium atoms had been previously reported at low temperatures (Alonso et al, J. Magn. Magn. Mater. 177–181 (1998) 1048).

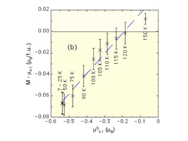
The distribution of the CeRh3B2 magnetization has now been studied as a function of temperature up to 150 K - that is, above the Curie temperature of 115 K. The magnetization density maps have been obtained from polarized neutron diffraction experiments by using the Maximum Entropy method. The cerium form factor has also been analysed.

Calculations of the form factor including several multiplets are developed and it is shown that it is necessary to take into account the influence of the higher multiplet of the Ce3+ ion. This result is coherent with the observation of a peak at high energy in the inelastic neutron spectra, indicating a very large crystal electric field splitting.

Both analyses lead to the same conclusion that, on heating, the diffuse negative magnetization observed at low temperature along the cerium chains disappears at the magnetic ordering temperature. The influence of the second multiplet of the Ce3+ ion could be part of the explanation for the low value of the 4f moment and the large Curie temperature in CeRh3B2.

Ref.: F. Givord, J.-X. Boucherle, E Lelièvre-Berna and P. Lejay, J. Phys.: Condens. Matter 16 (2004) 1211–1230.