This website is being migrated. In case you don't find the information you are looking for, the old website can be found here. Thank you for reporting any anomalies to communication@ill.eu.
Not_easy__to__untwist_v10.png
Follow us! Stay connected with us on social media for the latest updates and news!

Not easy to (un)twist ! MnSi under a magnetic field

17 Jan 2018

Investigating the magnetic field – temperature phase diagram of MnSi: it’s not easy to untwist!

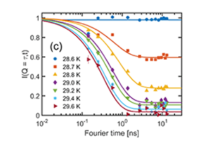
SANS scattering patterns obtained for a magnetic field of 0.20 T [(a) and (b)] applied parallel to the neutron beam wavevector k ⃗_i and perpendicular to it. Panel (c) shows the intermediate scattering function I(Q=τ), with τ=2π/l and l the pitch of the helix, at a magnetic field of 0.24 T illustrating the abrupt change, within 0.2 K, associated with the first order transition. Credit: C. Pappas et al. Phys. Rev. Lett. 119, 047203 (2017)

Neutron scattering has allowed researchers to investigate the magnetic phase diagram of the chiral magnet MnSi in depth, leading to results that challenge established approaches to chiral magnetism.

Chirality is commonly found in nature, and is characterized by a reflection asymmetry. A simple example being that our left hand is the mirror opposite of our right. When this appears in the structure of atoms in a solid, it affects the way that the magnetic moments of unpaired electrons organize themselves through the relativistic spin-orbit Dzyaloshinskii-Moriya (DM) interaction. This interaction is usually weak; nevertheless, it induces qualitatively different behaviour. In chiral magnets, such as MnSi, the Dzyaloshinskii-Moriya interaction stabilises non-collinear arrangements of the magnetic moments and emergent phenomena like the topologically protected magnetic defects called skyrmions. The latter are fundamentally interesting and in the focus of theoretical and experimental studies because their small size, stability and emergent electromagnetism make them ideal candidates for spintronics applications.

It is striking that all skyrmion hosting chiral magnets, from the metallic MnSi to insulator Cu2OSeO3, exhibit the same generic phase diagram alongside other similar characteristics.  A phase diagram allows one to work out exactly what phases are present at a given temperature, pressure or volume. Understanding this generic behaviour is thus of essential importance from a fundamental point of view but also for future applications.

Researchers from the Institute Laue Langevin in France, ISIS Neutron and Muon Source at the UK, Ames Lab in USA and Delft University of Technology have recently addressed this issue in their Physical Review Letters paper. By combining Small Angle Neutron Scattering and high resolution Neutron Spin Echo spectroscopy, as shown in the figure, the team monitored the influence of a magnetic field on the chiral magnetic correlations both in space and in time. The SANS measurements were performed on the newly commissioned instrument LARMOR at ISIS Neutron and Muon Source, which is a UK-NL joint venture supported by a NWO-Groot grant of the Dutch Science foundation.

The results reveal that the twisted, helical conical or skyrmionic, long range magnetic order disappears abruptly with increasing temperature, as a first order phase transition, also under magnetic fields. The origin of this abrupt change is not clear and cannot only be attributed to fluctuations as was assumed so far.  The experimental findings from neutron scattering thus challenge established approaches to chiral magnetism calling for additional theoretical work to understand its subtleties.

Authors: C. Pappas, L. Bannenberg

Further Information
“Magnetic Fluctuations, Precursor Phenomena, and Phase Transition in MnSi under a Magnetic Field”, C. Pappas et al, Physical Review Letters 119, 047203 (2017).

DOI: 10.1103/PhysRevlett.119.047203

Contact at ILL: Eddy Lelièvre-Berna & Peter Falus

Share this post