Neutron diffraction from a microgravity-grown crystal reveals the active site hydrogens of the internal aldimine form of tryptophan synthase
Search
The ILL monitors the papers published as a result of the use of our facilities.
This gives a figure of about 600 papers per year.
We pay particular attention to papers published in high-impact journals. About 80 such papers are published annually based on data obtained at the ILL, which is a factor of two higher than the second most productive neutron source in the world.
Scientific Publication lists (from Annual reports) List of PhD thesis Recent Journal covers
Neutron diffraction from a microgravity-grown crystal reveals the active site hydrogens of the internal aldimine form of tryptophan synthase
Neutron diffraction from a microgravity-grown crystal reveals the active site hydrogens of the internal aldimine form of tryptophan synthase
Large hysteretic hydrogen adsorption in Double Wall Carbon Nanotubes bundles
Interactions of choline and geranate (CAGE) and choline octanoate (CAOT) deep eutectic solvents with lipid bilayers
Transition from a sponge-like to an onion-like nanostructure in the L3 phase - Part I
Leu-enkephalin lipid prodrug nanoparticles: Relationship between nanoparticles structure, interaction with bovine serum albumin, and analgesic activity
Giant magnetocaloric effect in spin supersolid candidate Na2BaCo(PO4)2
Combination of a pH-responsive peptide amphiphile and a conventional antibiotic in treating Gram-negative bacteria
Solid-state chemistry shuffling of alkali ions toward new layered oxide materials
Structure, spin correlations, and magnetism of the S = 1/2 square-lattice antiferromagnet Sr2CuTe1-xWxO6 (0 <= x <= 1)
Tuneable interphase transitions in ionic liquid/carrier systems via voltage control
Neutron reflection and scattering in characterising peptide assemblies
Carrier peptide interactions with liposome membranes induce reversible clustering by surface adsorption and shape deformation
Investigating structural properties and reaction mechanism of non-stoichiometric spinel LNMO via solid state NMR
Quantitative three-dimensional local order analysis of nanomaterials through electron diffraction
Ca2MnO3X (X = Cl, Br) oxyhalides with 1-dimensional ferromagnetic chains of square-planar S = 2 Mn3+
Strain control of a bandwidth-driven spin reorientation in Ca3Ru2O7
Unveiling mesoscopic structures in distorted lamellar phases through deep learning-based small angle neutron scattering analysis
Molecular self-organization in surfactant atmospheric aerosol proxies
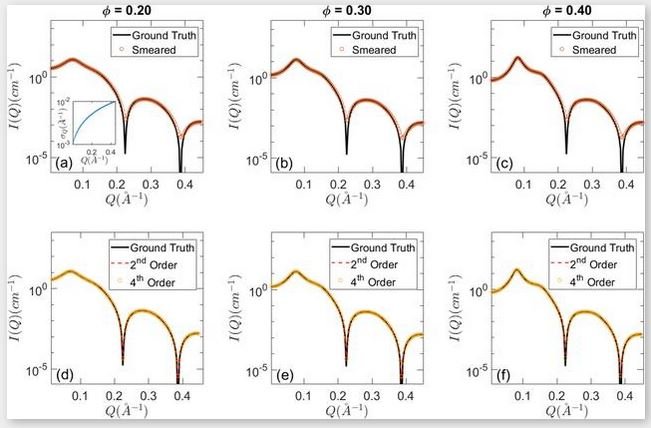
Desmearing small-angle scattering data by central moment expansions
High-Density Lipoprotein function is modulated by the SARS-CoV-2 spike protein in a lipid-type dependent manner
Developing advanced models of biological membranes with hydrogenous and deuterated natural glycerophospholipid mixtures
Interchain hydrodynamic interaction and internal friction of polyelectrolytes
Revealing protonation states and tracking substrate in serine hydroxymethyltransferase with room-temperature X-ray and neutron crystallography