Violation of a Leggett-Garg inequality using ideal negative measurements in neutron interferometry
Scientific publications
The ILL monitors the papers published as a result of the use of our facilities.
This gives a figure of about 600 papers per year.
We pay particular attention to papers published in high-impact journals. About 80 such papers are published annually based on data obtained at the ILL, which is a factor of two higher than the second most productive neutron source in the world.
Scientific Publication lists (from Annual reports) List of PhD thesis Recent Journal covers
Latest ILL publications
Crystal, magnetic structures, and bonding interactions in the TiNiSi-type hydride CeMgSnH: Experimental and computational studies
Fast vapour migration next to a depressurizing interface: A possible driving mechanism of explosive spalling revealed by neutron imaging
Identification of degree of ordering in spinel LiNi0.5Mn1.5O4 through NMR and Raman spectroscopies supported by theoretical calculations
Poly(dicarbon monofluoride) (C2F)n bridges the neutron reflectivity gap
Investigation of the structure of protein-polymer conjugates in solution reveals the impact of protein deuteration and the size of the polymer on its thermal stability
Sr2MnO2Na1.6Se2: A metamagnetic layered oxychalcogenide synthesized by reductive Na intercalation to break [Se2]2- perselenide dimer units
Water slowing down drives the occurrence of the low temperature dynamical transition in microgels
The origins of critical deformations in cylindrical silicon based Li-ion batteries
Charge evolution in the Y0.9Ba1.7Ca2.4Fe5O14.7 layered perovskite
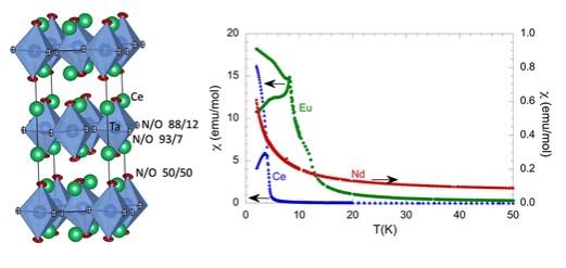
Anionic and magnetic ordering in rare earth tantalum oxynitrides with an n = 1 Ruddlesden-Popper structure
Structural origins of dielectric anomalies in the filled tetragonal tungsten bronze Sr2NaNb5O15
Dynamic covalent amphiphilic polymer conetworks based on end-linked pluronic F108: Preparation, characterization, and evaluation as matrices for gel polymer electrolytes
Morphology of buried interfaces in ion-assisted magnetron sputter-deposited 11B4C-containing Ni/Ti multilayer neutron optics investigated by gazing-incidence small-angle scattering
Systemically administered zoledronic acid activates locally implanted synthetic hydroxyapatite particles enhancing peri-implant bone formation: A regenerative medicine approach to improve fracture fixation
Synthetic tailoring of ionic conductivity in multicationic substituted, high-entropy lithium argyrodite solid electrolytes
A dilute nematic gel produced by intramicellar segregation of two polyoxyethylene alkyl ether carboxylic acids
SrMo0.9O3-δ Perovskite with segregated Ru nanoparticles performing as anode in solid oxide fuel cells
Mesoscopic structure of lipid nanoparticle formulations for mRNA drug delivery: Comirnaty and drug-free dispersions
CoVO3 High-pressure polymorphs: To order or not to order?
Diblock bottlebrush polymer in a non-polar medium: Self-assembly, surface forces, and superlubricity
Hydrogen densification in carbon nanopore confinement: Insights from small-angle neutron scattering using a hierarchical contrast model
Investigation of the dynamic behaviour of H2 and D2 in a kinetic quantum sieving system
Planar polymer membranes accommodate functional self-assembly of inserted resorcinarene nanocapsules