Canted ferrimagnetism in the distorted double perovskite La3Mn2NbO9
Scientific publications
The ILL monitors the papers published as a result of the use of our facilities.
This gives a figure of about 600 papers per year.
We pay particular attention to papers published in high-impact journals. About 80 such papers are published annually based on data obtained at the ILL, which is a factor of two higher than the second most productive neutron source in the world.
Scientific Publication lists (from Annual reports) List of PhD thesis Recent Journal covers
Latest ILL publications
Molecular structure of maltoside surfactants controls micelle formation and rheological behavior
Effect of high-energy ball-milling on the magnetostructural properties of a Ni45Co5Mn35Sn15 alloy
M = Ir4+,Ta5+-doped SrCo0.95M0.05O3-δ perovskites: Promising solid-oxide fuel-cell cathodes
Interactions of anticancer drugs doxorubicin and idarubicin with lipid monolayers: New insight into the composition, structure and morphology
Tuneable interfacial surfactant aggregates mimic lyotropic phases and facilitate large scale nanopatterning
Joint neutron/X-ray crystal structure of a mechanistically relevant complex of perdeuterated urate oxidase and simulations provide insight into the hydration step of catalysis
Sample dependence of magnetism in the next-generation cathode material LiNi0.8Mn0.1Co0.1O2
The effect of alginate composition on adsorption to calcium carbonate surfaces
Preferential Co and Fe atom occupancy in R2(Fe1-xCo )14B intermetallic compounds (R = Nd, Y and Ce)
Peptide discs as precursors of biologically relevant supported lipid bilayers
Composition effects on photooxidative membrane destabilization by TiO2 nanoparticles
Emergent magnetic phases in pressure-tuned van der Waals antiferromagnet FePS3
PSMA-D4 radioligand for targeted therapy of prostate cancer: Synthesis, characteristics and preliminary assessment of biological properties
Insights into the lithium sub-structure of superionic conductors Li3YCl6 and Li3YBr6
Formation of one-dimensional quantum crystals of molecular deuterium inside carbon nanotubes
High-temperature synthesis and dielectric properties of LaTaON2
ApoE and ApoE nascent-like HDL particles at model cellular membranes: Effect of protein isoform and membrane composition
On the cluster formation of α-synuclein fibrils
Clustering in ferronematics - The effect of magnetic collective ordering
From SmOF to SmH0.78OF0.22: H/F substitution in oxide fluorides as a synthesis route to heteroanionic compounds
Hole and electron doping of topochemically reduced Ni(I)/Ru(II) insulating ferromagnetic oxides
Crystal and magnetic structures of the ternary Ho2Ni0.8Si1.2 and Ho2Ni0.8Ge1.2 compounds: An example of intermetallics crystallizing with the Zr2Ni1-xP prototype
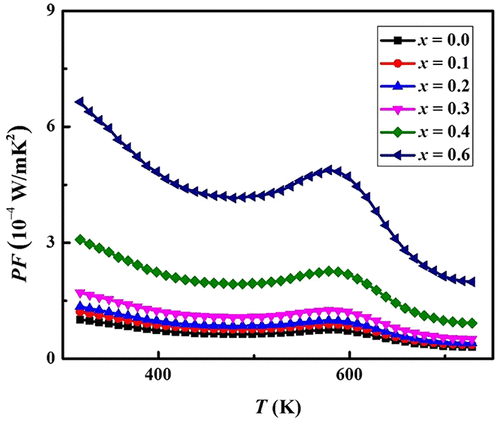
Ba2-xBixCoRuO6 (0.0 <= x <= 0.6) hexagonal double-perovskite-type oxides as promising p-type thermoelectric materials